- Cosa proponiamo alle aziende
ERGapp MONITORAGGIO dei consumi energetici e di produzione
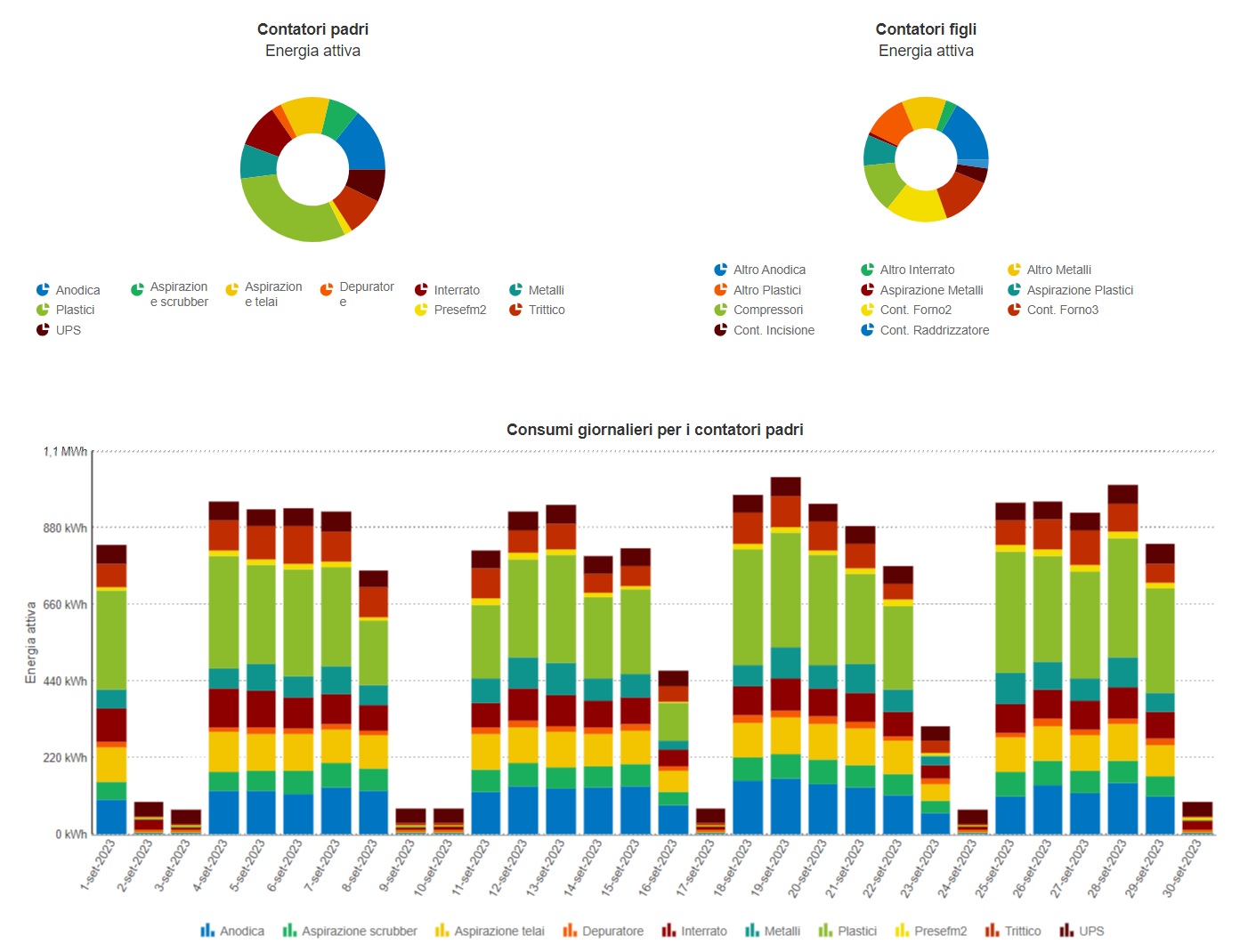
Per effettuare analisi energetiche dettagliate è necessario fare affidamento su un sistema di monitoraggio dei consumi. Nel caso non fosse già disponibile, ERGapp monitoraggio prevede una soluzione di facile installazione: un analizzatore di rete da collegare al quadro elettrico e/o sui macchinari energivori. I dati rilevati vengono inviati al server di ERGapp tramite un gatelogger ed una rete Internet.
ERGapp Monitoraggio consente all’azienda di:
Visualizzare il bilancio energetico aziendale in funzione delle principali aree di consumo;
Monitorare i propri consumi in tempo reale confrontandoli con condizioni “tipiche” al fine di evidenziare anomalie;
Visualizzare la qualità della corrente: sfasamento, bilanciamento fasi, analisi armoniche,…;
Costruire indicatori di prestazione energetica (EnPI) normalizzando il consumo rispetto alla produzione;
Visualizzare i costi energetici per centro di costo aziendale;
Attivare un servizio di alerting al raggiungimento di soglie di attenzione o di allarme preimpostate o personalizzabili;
Predisporre servizi di reportistica (mediante file Excel con tabelle e grafici editabili).
ERGapp Monitoraggio può essere integrato con vari sistemi di monitoraggio installati presso l’azienda (contatori di energia, multimetri, misuratori ottici, contapezzi, sonde di temperatura,…) e con il gestionale aziendale per i dati di produzione e/o centri di costo.
Oltre agli analizzatori di rete elettrica, sono disponibili vari sensori di misura:
Temperatura/umidità/eliofania
Pezzi prodotti
Consumi di gas naturale/acqua
ERGapp DIAGNOSI
ERGapp è un'applicazione web erogata come software as a service (SaaS) che
analizza i consumi energetici aziendali, facilita l'individuazione di interventi di
efficientamento e monitora le anomalie per prevedere malfunzionamenti.
ERGapp Diagnosi, in particolare, è il modulo dedicato al supporto dell’Energy Manager per la
redazione della diagnosi energetica per piccole e grandi aziende per tutti i settori
merceologici, dal terziario alle aziende di trasporti alle industrie di produzione di
beni. ERGapp ripercorre il processo di diagnosi energetica, ricostruendo il modello energetico per tutti i vettori energetici presenti
in azienda e fornendo i risparmi ottenibili da interventi di efficientamento.

L’energy manager aziendale accede ad ERGapp ed ha la possibilità di:
Analizzare l’andamento dei consumi previo caricamento degli stessi
tramite Excel o valori derivanti da bolletta energetica.
Esaminare l’evoluzione degli indicatori energetici ed EnPI (Energy
Performance Indicator) tramite grafici di andamento temporale e scatter plot.
Ricostruire il modello energetico aziendale di ciascun vettore presente,
inserendo i macchinari energivori e profili di utilizzo orari.
Stimare i consumi dei singoli macchinari presenti in azienda grazie al modello
energetico, quantificando così il consumo
specifico delle singole aree energetiche.
Valutare il risparmio energetico, economico e payback time di
interventi di efficientamento energetico sui macchinari in funzione dei rispettivi profili di
utilizzo; è possibile inoltre calcolare la sinergia fra più interventi.
Stimare il risparmio dovuto al cambio di fornitore di energia elettrica,
gas naturale o altri vettori energetici
Esportare un report di diagnosi comprensivo di statistiche e grafici.
Gestire più aziende e aziende multisito in modo semplice e diretto, avendo la possibilità di effettuare benchmarking tra i diversi siti.
ERGapp Diagnosi permette la redazione di diagnosi energetiche conformi al D.Lgs.
102/2014.
Il team TerrAria è a disposizione per diagnosi energetiche chiavi in mano e analisi
energetiche personalizzate.
Sono disponibili finanziamenti per supportare la realizzazione di interventi di efficientamento energetico sia per soggetti privati che pubblici: contattaci per eventuali approfondimenti!
ERGapp ISO 50001
ERGapp permette di supportare la certificazione ISO 50001 tramite il calcolo ed il monotoraggio degli EnPI e dei consumi energetici aziendali; è inoltre possibile stimare i risparmi energetici dovuti alla sostituzione dei macchinari.
- Cosa proponiamo alla pubblica amministrazione
A supporto delle amministrazioni pubbliche, TerrAria ha sviluppato il software CO20 (www.co20.it), strumento innovativo ed avanzato, nato nel 2011 ed utilizzato da oltre 300 comuni in tutta Italia per il monitoraggio dei consumi degli edifici pubblici, la definizione dei propri PAESC (Piano d'Azione per l'Energia Sostenibile e il Clima), la creazione di inventari energetico-emissivi e la definizione di azioni concrete per il raggiungimento degli obiettivi fissati dall’UE. Si rimanda al sito di CO20 per approfondimenti; per chiarimenti scrivere a: co20[at]terraria.com
